2019考研数学:高数必考重点题型之求极限
2018/4/10 15:33:15
来源: 本站
海天考研老师介绍,求极限是历年考试的重点,过去数学一经常考填空题或选择题,但近年两次作为大题出现,说明极限作为微积分的基础,地位有所加强。数学二、三一般以大题的形式出现。
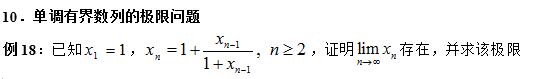
用等价无穷小量代换求极限,用对数恒等式求极限是重点,及时分离极限式中的非零因子是解题的重要技巧。下面我们来看求极限的各种方法:


用等价无穷小量代换求极限,用对数恒等式求极限是重点,及时分离极限式中的非零因子是解题的重要技巧。




用等价无穷小量代换求极限,用对数恒等式求极限是重点,及时分离极限式中的非零因子是解题的重要技巧。




用等价无穷小量代换求极限,用对数恒等式求极限是重点,及时分离极限式中的非零因子是解题的重要技巧。




热门推荐



